16colo.rs
█▓▒░
BROWSE
PACKS E-MAGS ARTISTS GROUPS
SEARCH TAGS UPLOAD FAQ FORUM LOGIN
16colo.rs
BROWSE
PACKS E-MAGS ARTISTS GROUPS
FAQ UPLOAD TAGS FORUM LOGIN
SEARCH

searches text + SAUCE data

search on artist filename prefixes (usually 2 to 3 characters)

search for filename suffix, the non-artist part of the filename

search on file extension such as ANS, ICE, RIP, LIT or DRK

search on release year

more advanced search options are available on the search page

  • packs
  • 1996
  • mist0896
  • ···OTHER
  • << prev
  • |
  • index
  • |
  • next >>

log in to add a comment.

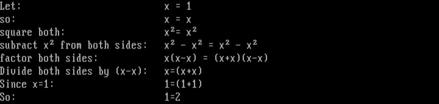
FILE
···OTHER
images: X1 X2
data: JSON

PREVIEW

META - TAGS
  • artist(s)
  • group(s)
  • content
  • file separator

copy tags navigation report a problem

Navigation controls

control through numpad (and arrow keys)
[indx] [top] [____]
[prev] [___] [next]
[slow] [med] [fast]
7: back to pack
8: go to top
4: previous
6: next
1: scroll down slow
2: scroll down medium
3: scroll down fast

16colo.rs ASCII and ANSI art archive - privacy & cookie policy

facebook
twitter
instagram
rss
built with ansilove
built with pablodraw
integrated with moebius